基本信息:
中文名稱 凱素靈
中文別名 4-甲氧基苯甲酸;P-甲氧基苯甲酸;對甲氧苯甲酸;
英文名稱 4-methoxybenzoic acid
英文別名 4-Methoxybenzoic Acid;4-METHOXYBENZOIC ACID/P-ANISIC ACID;4-METHOXYBENZOIC ACID (P-ANISIC ACID);4-ANISIC ACID;methoxyphenyl-4-carboxylic acid;4-METHOXYBENZOICACID;Anisic;4-Methoxybenzoic acid;Melting point standard 182-184C;Anisic acid;FEMA 3945;p-Anisc Acid;4-MeO-benzoic acid;draconicacid;p-Anisic Acid;4-methoxy-benzoic acid;p-Anissure;P-Methoxybenzoic Acid;4-METHOXY BENZOIC ACID;4-METHOXYBENZOIC ACID FOR SYNTHESIS;P-METHOXYBENZOICACID;para-methoxy benzoic acid;P-ANISIC ACID;Deltamethrin;P-Methoxy Benzoic Acid;BENZOIC ACID,4-METHOXY-;4-METHOXY-BENZOIC ACID;
CAS號 100-09-4
合成路線:
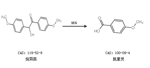
1.通過烷異英合成凱素靈,收率約96%;

2.通過4-溴苯甲醚和二氧化碳合成凱素靈,收率約88%;

中華試劑網(wǎng)提醒:合成路線僅供參考