基本信息:
中文名稱 3,4-二羥基苯基丙酸
中文別名 二氫咖啡酸;3,4-二羥基苯丙酸;3,4-二羥苯基丙酸;3-(3,4-二羥基苯基)丙酸
英文名稱 3-(3,4-dihydroxyphenyl)propanoic acid
英文別名 3,4-Dihydroxy-Hydrocinnamic Acid; 3-(3,4-Dihydroxyphenyl)Propionic Acid; Hydrocaffeic Acid; Dihydrocaffeic Acid; 3,4-Dihydrocaffeic Acid; 3,4-Dihydroxyhydrocinnamic Acid; 3,4-Dihydroxy-Benzenepropanoic Acid; 3-Hydroxyphloretic Acid
CAS號 1078-61-1
合成路線:
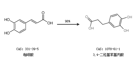
1.通過咖啡酸合成3,4-二羥基苯基丙酸,收率約98%;

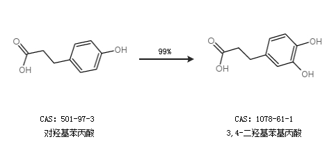
2.通過對羥基苯丙酸合成3,4-二羥基苯基丙酸,收率約99%;

合成路線僅供參考