基本信息:
中文名稱 二異丁基甲酮
中文別名 2,6-二甲-4-庚酮;2,6-二甲基-4-庚酮;
英文名稱 2,6-Dimethyl-4-heptanone
英文別名 isovaleron;METHYL NONYL KETONE, 2-HENDECANONE;2,6-dimethylheptan-4-one;DIISOBUTYL KETONE (DIBK): CP;2,6-Dimethylheptan-4-one;DIISOBUTYL KETONE FOR SYNTHESIS;DIISOBUTYLKETONE;ISOBUTYL KETONE;FEMA 3537;DIBK;Diisobutyl Ketone;2,6-Dimethyl-4-Heptanone;2,5-DIMETHOXY-4-PIPERIDIN-1-YL-BENZALDEHYDE;DI-ISO BUTYL KETONE;ISOVALERONE;Diisobutyl ketone,Isovalerone;Diisobutylketon;DI-ISOBUTYLKETONE;2,6-DIMETHYL-4-HEPTA;2,6-Dimethyl-4-Heptanone (Dibk );DIISOBUTYL KETONE (DIBK);2,6-DIMETHYL-4-HEPTANONE (ISO-BUTYL KETONE, ISO-NONANONE, ISO-VALERONE);4-HEPTANONE,2,6-DIMETHYL-;VALERONE;
CAS號 108-83-8
合成路線:
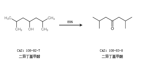
1.通過二異丁基甲醇合成二異丁基甲酮,收率約89%;

2.通過2,6-二甲基-2,5-庚二烯-4-酮合成二異丁基甲酮,收率約89%;

中華試劑網提醒 合成路線僅供參考