基本信息:
中文名稱 (-)-薄荷酮
中文別名 L-薄荷酮;(2S)-反-5-甲基-2-(1-甲基乙基)環(huán)己酮;5-甲基-2-(1-甲乙基)環(huán)已硐;
英文名稱 (-)-menthone
英文別名 (?)-Menthone,(1R,4S)-p-Menthan-3-one,(2S,5R)-2-Isopropyl-5-methylcyclohexanone;(2S,5R)-5-methyl-2-propan-2-ylcyclohexan-1-one;(1R,4S)-(-)-p-Menthan-3-one;(1R,4S)-p-Menthan-3-one,(2S,5R)-2-Isopropyl-5-methylcyclohexanone;(-)-Menthone;
CAS號 14073-97-3
合成路線:
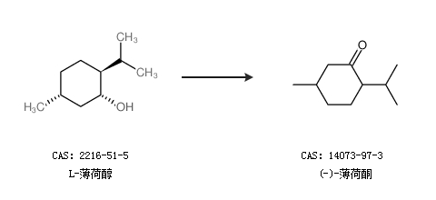
1.通過L-薄荷醇合成(-)-薄荷酮

2.通過(1R,2r,5r)-2-異丙基-5-甲基環(huán)己醇合成(-)-薄荷酮

中華試劑網提醒:合成路線僅供參考