基本信息:
中文名稱 1-己烷磺酸鈉
中文別名 一水正己烷磺酸鈉;己烷磺酸鈉;正己烷磺酸鈉;己烷-1-磺酸鈉鹽;
英文名稱 sodium,hexane-1-sulfonate
英文別名 1-Hexanesulfonic Acid Sodium Salt;IPC-ALKS-6;Sodium hexane-1-sulfonate;hexane-1-sulfonic acid,sodium-salt;sodium hexanesulfonate;SodiuM 1-Hexanesulfonate;Hexan-1-sulfonsaeure,Natrium-Salz;1-hexanesulphonic acid sodium salt;1-Hexanesulfonic acid,sodium salt;Sodium 1-Hexanesulfonate;Sodium hexyl sulfonate;
CAS號 2832-45-3
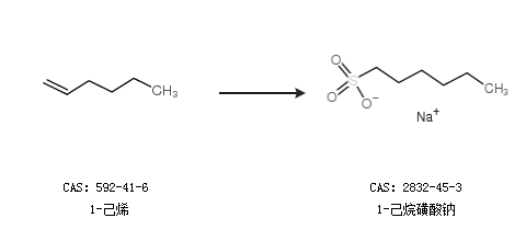
合成路線:
1.通過1-己烯合成1-己烷磺酸鈉

合成路線僅供參考