基本信息:
中文名稱 D-蛋氨醇
英文名稱 (2R)-2-amino-4-methylsulfanylbutan-1-ol
英文別名 (S)-Methioninol;H-D-Met-ol;(R)-2-Amino-4-methylmercapto-butan-1-ol;(R)-2-amino-4-methylthio-1-butanol;(R)-2-amino-4-methylsulfanyl-butan-1-ol;D(+)-Methioninol;(R)-methioninol;L-2-amino-4-methylsulfanylbutanol;AmbotzFAL1006;
CAS號(hào) 87206-44-8
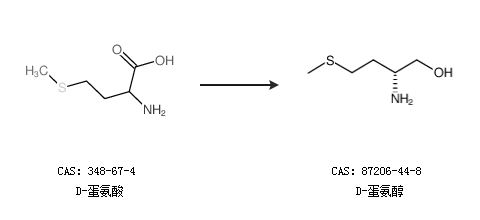
合成路線:
1.通過(guò)D-蛋氨酸合成D-蛋氨醇

2.通過(guò)N-叔丁氧羰基-D-蛋氨醇合成D-蛋氨醇

中華試劑網(wǎng)提醒:合成路線僅供參考