基本信息:
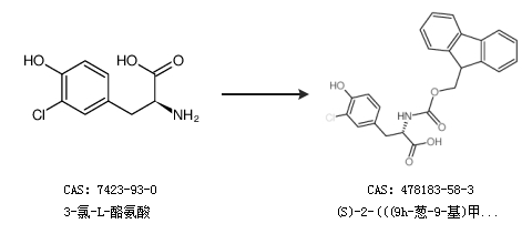
中文名稱 (S)-2-(((9h-蔥-9-基)甲氧基)羰基氨基)-3-(3-氯-4-羥基苯基)丙酸
中文別名 FMOC-L-3-氯酪氨酸;
英文名稱 (2S)-3-(3-chloro-4-hydroxyphenyl)-2-(9H-fluoren-9-ylmethoxycarbonylamino)propanoic acid
英文別名 Fmoc-Tyr(3-Cl)-OH;Fmoc-3-chlorotyrosine;(2S)-3-(3-chloro-4-hydroxyphenyl)-2-{[(9H-fluoren-9-ylmethoxy)carbonyl]amino}propanoic acid;Fmoc-3-chloro-L-tyrosine;
CAS號(hào) 478183-58-3
合成路線:
1.通過3-氯-L-酪氨酸合成(S)-2-(((9h-蔥-9-基)甲氧基)羰基氨基)-3-(3-氯-4-羥基苯基)丙酸

中華試劑網(wǎng)提醒:合成路線僅供參考