基本信息:
中文名稱 西他沙星
中文別名 7-[(7S)-7-氨基-5-氮雜螺[2.4]庚-5-基]-8-氯-6-氟-1-[(1R,2S)-cis-2-氟環(huán)丙基]-1,4-二氫-4-氧代-3-喹啉羧酸;
英文名稱 7-[(7S)-7-amino-5-azaspiro[2.4]heptan-5-yl]-8-chloro-6-fluoro-1-[(2S)-2-fluorocyclopropyl]-4-oxoquinoline-3-carboxylic acid
英文別名 Sitafloxacin;
CAS號 127254-12-0
合成路線:
1.通過(7S)-5-氮雜螺[2.4]庚烷-7-基氨基甲酸叔丁酯合成西他沙星

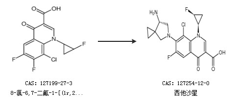
2.通過8-氯-6,7-二氟-1-[(1r,2s)-2-氟環(huán)丙基]-1,4-二氫-4-氧代-3-喹啉羧酸合成西他沙星

中華試劑網(wǎng)提醒:合成路線僅供參考