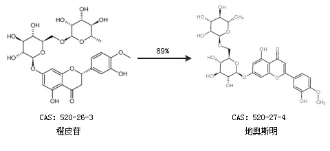
基本信息:
中文名稱 地奧斯明
中文別名 地奧司明;
英文名稱 diosmin
英文別名 Diosmine;Diosimin;3'',5,7-trihydroxy-4''-methoxyflavone 7-rutinoside;Barosmin;diosmetin-7-rhamnoglucoside;UNII-7QM776WJ5N;3'',5,7-Trihydroxy-4''-methoxyflavone 7-Rutinoside;5-hydroxy-2-(3-hydroxy-4-methoxyphenyl)-7-[(2S,3R,4S,5S,6R)-3,4,5-trihydroxy-6-[[(2R,3R,4R,5R,6S)-3,4,5-trihydroxy-6-methyloxan-2-yl]oxymethyl]oxan-2-yl]oxychromen-4-one;Venosmine;
CAS號 520-27-4
合成路線:
1.通過橙皮苷合成地奧斯明,收率約89%;

合成路線僅供參考