基本信息:
中文名稱 1,3-金剛烷二乙酸
中文別名 1,3-金剛烷二乙酯;1,3-雙(羧甲基)金剛烷;
英文名稱 2-[3-(carboxymethyl)-1-adamantyl]acetic acid
英文別名 1,3-Adamantanediaceticacid;H2ADA;2,2''-(Adamantane-1,3-diyl)diacetic acid;1,3-Adamantanediacetic Acid;adamantane-1,3-diacetic acid;
CAS號 17768-28-4
合成路線:
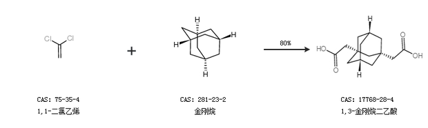
1.通過1,1-二氯乙烯和金剛烷合成1,3-金剛烷二乙酸,收率約80%;

2.通過1,1-二氯乙烯合成1,3-金剛烷二乙酸,收率約88%;

合成路線僅供參考