基本信息:
中文名稱 N-Boc-L-異亮氨醇
中文別名 N-叔丁氧羰基-L-異亮氨;N-叔丁氧羰基-L-異亮氨醇,N-Boc-(2S,3S)-(-)-2-氨基-3-甲基-1-戊醇;N-叔丁氧羰基-L-異亮氨醇;N-Boc-(2S,3S)-(-)-2-氨基-3-甲基-1-戊醇;N-BOC-(2S,3S)-()-2-氨基-3-甲基-1-戊醇;BOC-L-異亮氨醇;
英文名稱 N-Boc-(2S,3S)-(-)-2-Amino-3-methyl-1-pentanol
英文別名 tert-butyl N-[(2S,3S)-1-hydroxy-3-methylpentan-2-yl]carbamate;N-Boc-L-Isoleucinol;
CAS號(hào) 106946-74-1
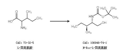
合成路線:
1.通過(guò)BOC-L-異亮氨酸合成N-Boc-L-異亮氨醇

2.通過(guò)L-異亮氨酸合成N-Boc-L-異亮氨醇

中華試劑網(wǎng)提醒:合成路線僅供參考