基本信息:
中文名稱 乳清酸
中文別名 6-羧酸;維生素B13;尿嘧啶-6-羧酸;維生素B13;辣-4-甲酸;1,2,3,6-四氫-2,6-二氧代-4-嘧啶羧酸;脲嘧啶-6-羧酸;
英文名稱 orotic acid
英文別名 6-uracilic acid;6-carboxyuracil;Orotyl;Orotic acid;Orodin;vitamin B13;orodin[qr];Orotsaure;Oroturic;1,2,3,6-tetrahydro-2,6-dioxo-4-pyrimidine carboxylic acid;Orotonsan;H-ORO-OH;[3H]-Orotic acid;Orotonin;orotic;Oropur;
CAS號 65-86-1
合成路線:
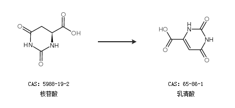
1.通過核苷酸合成乳清酸

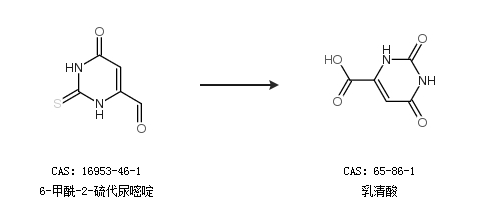
2.通過6-甲酰-2-硫代尿嘧啶合成乳清酸

中華試劑網(wǎng)提醒:合成路線僅供參考