基本信息:
中文名稱 6-丙基-2-硫尿嘧啶
中文別名 6-丙基-2-硫代尿嘧啶;6-正丙基-2-硫代尿嘧啶;6-正丙;4-羥基-2-巰基-6-丙基嘧啶;丙基硫氧嘧啶;6-丙基-2-巰基-4-羥基嘧啶;丙硫氧嘧啶;6-丙基-2-硫代-2,3-二氫-4(1H)-嘧啶酮;
英文名稱 6-propyl-2-thiouracil
英文別名 T 72;6-n-propylthiouracil;6-Propyl-2-thioxo-2,3-dihydropyrimidin-4(1H)-one;PROPYCIL;Protiural;2-Mercapto-6-Propylpyrimidin-4-ol;Propylthiouracil;PROTHYRAN;4-propyl-2-thiouracil;4-Hydroxy-2-mercapto-6-propylpyrimidine;PROIL;6-n-propyl-2-thiouracil;4-hydroxy-2-mercapto-6-propylpyrimidine;6-Propyl-2-thiouracil;2,3-Dihydro-6-propyl-2-thioxo-4(1H)-pyrimidinone,4-Hydroxy-2-mercapto-6-propylpyrimidine;Thiuragyl;PROPACIL;Prothycil;
CAS號(hào) 51-52-5
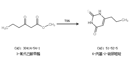
合成路線:
1.通過(guò)3-氧代己酸甲酯合成6-丙基-2-硫尿嘧啶,收率約79%;

中華試劑網(wǎng)提醒:合成路線僅供參考