基本信息:
中文名稱(chēng) 4’,6,7-三羥異黃酮
中文別名 6,7-二羥基-3-(4-羥基苯基)-4H-苯并吡喃-4-酮;4'',6,7-三羥基異黃酮;
英文名稱(chēng) 4'',6,7-trihydroxyisoflavone
英文別名 6,7,4''-trihydroxyisoflavon;6,7-dihydroxy-3-(4-hydroxyphenyl)-4H-chromen-4-one;6,7-dihydroxy-3-(4-hydroxyphenyl)chromen-4-one;Demethyltexasin;6-hydroxydaidziein;6,7,4''-trihydroxyisoflavone;6-Hydroxydaidzein;4'',6,7-trihydroxy-isoflavone;
CAS號(hào) 17817-31-1
合成路線:
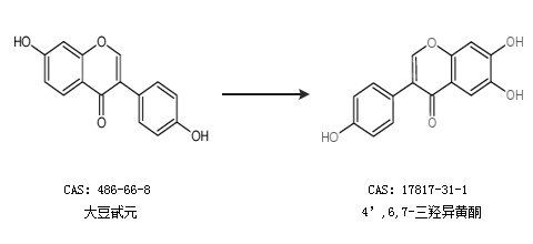
1.通過(guò)大豆甙元合成4’,6,7-三羥異黃酮

2.通過(guò)黃豆黃素合成4’,6,7-三羥異黃酮,收率約30%;

中華試劑網(wǎng)提醒:合成路線僅供參考