基本信息:
中文名稱 N-Boc-L-纈氨醇
中文別名 N-(叔丁氧基羰基)-L-纈氨醇;叔丁氧羰酰基纈氨醇;Boc-L-纈氨醇;N-叔丁氧羰基-L-纈氨醇;R-BOC-2-氨基-1,2-二苯基-1-丙醇;N-BOC-L-纈氨醇;
英文名稱 N-BOC-L-Valinol
英文別名 tert-butyl N-[(2S)-1-hydroxy-3-methylbutan-2-yl]carbamate;
CAS號(hào) 79069-14-0
合成路線:
1.通過(guò)N-(叔丁氧基羰基)-L-纈氨酸甲酯合成N-Boc-L-纈氨醇,收率約91%;

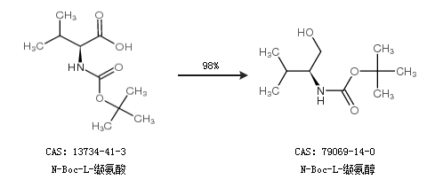
2.通過(guò)N-Boc-L-纈氨酸合成N-Boc-L-纈氨醇,收率約98%;

中華試劑網(wǎng)提醒:合成路線僅供參考