基本信息:
中文名稱 異硫氰酸仲丁酯
中文別名 異硫氰酸丁酯;
英文名稱 Isothiocyanic Acid Sec-Butyl Ester
英文別名 Isothiocyanic Acid sec-Butyl Ester;sec-Butyl isothiocyanate;2-isothiocyanatobutane;
CAS號(hào) 4426-79-3
合成路線:
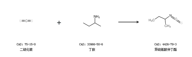
1.通過(guò)二硫化碳和丁胺合成異硫氰酸仲丁酯

2.通過(guò)丁胺和二吡啶硫碳酸酯合成異硫氰酸仲丁酯

合成路線僅供參考