基本信息:
中文名稱 2,3,7,8,12,13,17,18-八乙基-21H,23H-卟吩
中文別名 八乙基卟吩;2,3,7,8,12,13,17,18-八乙基卟啉;
英文名稱 2,3,7,8,12,13,17,18-octaethyl-21,22-dihydroporphyrin
英文別名 Octaethylporphyrine;2,3,7,8,12,13,17,18-Octaethyl-21H,23H-porphin;Octaethylporphine;2,3,7,8,12,13,17,18-Octaethylporphyrin;2,3,7,8,12,13,17,18-octaethylporphyrin;Octaethylporphyrin;2,3,7,8,12,13,17,18-Octaethyl-21H,23H-porphine;
CAS號 2683-82-1
合成路線:
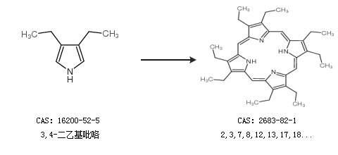
1.通過3,4-二乙基吡咯和甲醛合成2,3,7,8,12,13,17,18-八乙基-21H,23H-卟吩

2.通過3,4-二乙基吡咯合成2,3,7,8,12,13,17,18-八乙基-21H,23H-卟吩

中華試劑網(wǎng)提醒:合成路線僅供參考