基本信息:
中文名稱 2,6-二氯苯并噻唑
中文別名 2,6-二氯苯并[d]噻唑;2,6-二氯-1,3-苯并噻唑;2,5-雙(1,1-二甲基丙基)-1,4-苯二醇;2,6-二氯苯并三唑;
英文名稱 2,6-Dichlorobenzothiazole
英文別名 2,6-Dichloro-1,3-benzothiazole;2,6-dichloro-1,3-benzothiazole;
CAS號 3622-23-9
合成路線:
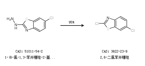
1.通過1-(6-氯-1,3-苯并噻唑-2-基)肼合成2,6-二氯苯并噻唑,收率約95%;

2.通過2-氨基-6-氯苯并噻唑合成2,6-二氯苯并噻唑

合成路線僅供參考