基本信息:
中文名稱 海柯吉寧
中文別名 番麻皂素;?略碥赵;(3β,5α,25R)-3-羥基螺甾(烷)-12-酮;(25R)-5α-螺甾(烷)-3β-醇-12-酮;蕃麻皂甙元;
英文名稱 Hecogenin
英文別名 (25R)-3b-Hydroxy-5a-spirostan-12-one;(25R)-5-Spirostan-3-ol-12-one;(3,5,25R)-3-Hydroxysiprostan-1;(3,5,25R)-3-Hydroxysiprostan-12-one;3-b-Hydroxy-5-a-spirostan-12-one;Hocogenin;12-Oxotigogenin;5ALPHA-SPIROSTAN-3BETA-OL-12-ONE;Hecoginin;
CAS號(hào) 467-55-0
合成路線:
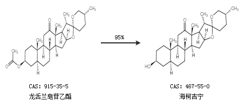
1.通過龍舌蘭皂苷乙酯合成海柯吉寧,收率約95%;

合成路線僅供參考