基本信息:
中文名稱 5,6-二氨基-1-甲基尿嘧啶
中文別名 6-二氨基-1-甲基尿嘧啶;5,6-二氨基-1-甲基-2,4-(1H,3H)嘧啶二酮;
英文名稱 5,6-Diamino-1-methyluracil
英文別名 5,6-diamino-1-methylpyrimidine-2,4-dione;
CAS號 6972-82-3
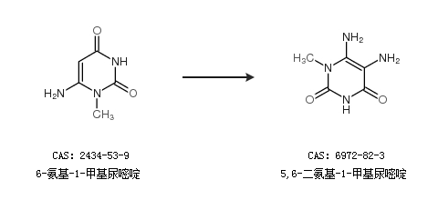
合成路線:
1.通過6-氨基-1-甲基尿嘧啶合成5,6-二氨基-1-甲基尿嘧啶

2.通過6-氨基-1-甲基尿嘧啶合成5,6-二氨基-1-甲基尿嘧啶

中華試劑網(wǎng)提醒 合成路線僅供參考