基本信息:
中文名稱 2-羥甲基-12-冠-4
中文別名 2-羥基甲基-12-冠醚-4;2-(羥甲基)-12-冠4-醚;
英文名稱 2-(Hydroxymethyl)-12-crown 4-Ether
英文別名 1,4,7,10-tetraoxacyclododec-2-ylmethanol;
CAS號(hào) 75507-26-5
合成路線:
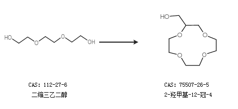
1.通過二縮三乙二醇合成2-羥甲基-12-冠-4

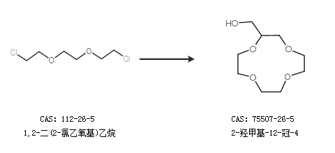
2.通過1,2-二(2-氯乙氧基)乙烷合成2-羥甲基-12-冠-4

中華試劑網(wǎng)提醒:合成路線僅供參考