基本信息:
中文名稱 1,3,4,6-四-O-乙酰基-2-疊氮-2-脫氧-Β-D-吡喃葡萄糖
中文別名 1,3,4,6-四-O-乙;-2-疊氮-2-脫氧-β-D-吡喃葡萄糖;1,3,4,6-四-o-乙;-2-疊氮基-2-脫氧-beta-d-吡喃葡萄糖;1,3,4,6-四-O-乙酰基-2-疊氮-2-脫氧-Beta-D-吡喃葡萄糖;2-疊氮-β-D-葡萄糖四乙酸酯;
英文名稱 1,3,4,6-Tetra-O-acetyl-2-azido-2-deoxy-beta-D-glucopyranose
英文別名 1,3,4,6-Tetra-O-acetyl-2-azido-2-deoxy-b-D-glucopyranose;
CAS號 80321-89-7
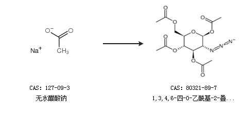
合成路線:
1.通過甘露糖三氟磺酸酯合成1,3,4,6-四-O-乙;-2-疊氮-2-脫氧-Β-D-吡喃葡萄糖,收率約85%;

2.通過無水醋酸鈉合成1,3,4,6-四-O-乙;-2-疊氮-2-脫氧-Β-D-吡喃葡萄糖

合成路線僅供參考