基本信息:
中文名稱 3-氯-2-氟苯甲腈
中文別名 2-氟-3-氯苯腈;3-氯-2-氟苯腈;
英文名稱 3-Chloro-2-fluorobenzonitrile
英文別名 2-fluoro-3-chlorobenzonitrile;EINECS 301-934-4;Benzonitrile,3-chloro-2-fluoro;chloro fluorobenzonitrile;
CAS號(hào) 94087-40-8
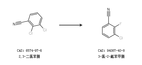
合成路線:
1.通過(guò)2,3-二氯苯腈合成3-氯-2-氟苯甲腈

中華試劑網(wǎng)提醒 合成路線僅供參考