基本信息:
中文名稱 3-羥基金剛烷-1-乙酸
中文別名 1-(羰甲基)-3-羥基金剛烷;3-羥基-1-金剛烷乙酸;
英文名稱 2-(3-hydroxy-1-adamantyl)acetic acid
英文別名 3-carboxymethyl-1-adamantanol;3-Hydroxyadamantane-1-acetic acid;3-Carboxymethyladamantan-1-ol;5-hydroxy-2-adamantyl acetic acid;1-(Carboxymethyl)-3-hydroxyadamantane;3-Hydroxyadamantane-1-aceticacid;3-Hydroxy-1-adamantaneacetic Acid;
CAS號 17768-36-4
合成路線:
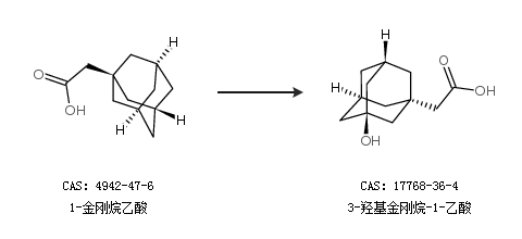
1.通過1-金剛烷乙酸合成3-羥基金剛烷-1-乙酸

2.通過1-溴金剛烷合成3-羥基金剛烷-1-乙酸

合成路線僅供參考